Le petit plaisir de l’année est donc sorti il y a quelques jours ! C’est désormais une forme de tradition, le sujet du bac marocain fait pas mal parler en France. Probablement à raison, mais là n’est pas l’affaire, c’est encore du lourd cette année ! Ne tardons pas plus.
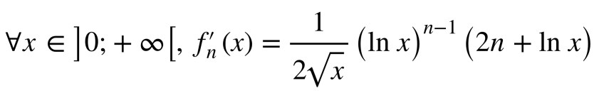
Comme ces dernières années, on attaque avec un gros exercice d’analyse. On étudie une fonction plutôt simple en apparence mais qui nous réserve bien des surprises, et plutôt des mauvaises bien sûr ! Changement de variable pour calculer des limites, limite de taux d’accroissement. On remarquera que même quand l’énoncé donne une indication, son utilisation n’est pas triviale. On passe par du calcul intégral pour étudier le sens de variation (surprenant !) puis une étude de point fixe avant de finir sur une suite « déduite » de la fonction. 7,5 points pour le tout, il faut les mériter.
La suite est moins aride, mais pas facile pour autant. On continue avec une fonction définie par une intégrale : théorème fondamental de l’analyse et changement de variable au programme pour calculer la limite d’une série.
Ça continue avec un exercice sur les complexes : on étudie une équation du second degré avec coefficients complexes. Cela nous entraine avec les propriétés géométriques des points dont les affixes sont les solutions de l’équation. Je ne vais pas revenir sur ma marotte, mais ça manque vraiment dans le programme chez nous !
L’enchaînement est semblable aux précédentes éditions avec un peu d’algèbre. Exercice un peu basique par rapport à ce qu’on a déjà vu : on étudie de façon guidée les propriétés d’un groupe.
On finit avec de l’arithmétique sous l’ombre de Gauss et Fermat…
Un nouveau très beau sujet au final varié et difficile, pour passer un bon moment pendant l’été !
Le sujet :
Le corrigé :
N’hésitez pas à me contacter pour toute question et à bientôt pour de nouvelle aventures mathématiques !
Antoine






